logo.gif (2519 字节)

合成橡胶工业
CHINA SYNTHETIC RUBBER INDUSTRY
2000 Vol.23 No.2 P.101-103

qklogo.gif (1030 字节)


纤维素醚的乳液接枝共聚合

许涌深 李红兵 袁才登 王艳君 曹同玉

摘要:在水溶性聚合物羟丙基甲基纤维素(HPMC)存在下进行丙烯酸酯的乳液接枝共聚合,研究了引发剂加料方式、用量和HPMC用量对接枝率的影响。结果表明,引发剂质量分数和引发剂与纤维素的预接触时间对接枝率有显著影响,增大HPMC质量分数导致表观接枝率和真实接枝率明显下降。
关键词:纤维素;丙烯酸酯;接枝;乳液聚合
中图分类号:TQ352.72 文献标识码:A
文章编号:1000-1255(2000)02-0101-03

Graft copolymerization of acrylate onto cellulose ether in emulsion system

Xu Yongshen,Li Hongbing,Yuan Caideng,Wang Yanjun and Cao Tongyu
(School of Chemistry Engineering and Technology,Tianjin University)

Abstract:Graft copolymer of CR and tributyltin methacrylate was characterized by IR,1H- NMR,TGA ,TEM and SEM.The antifungal activity tests of the copolymer showed that the copolymer had good fungal inhibition, and could be used as a retarder of fungi related rot and mildew.
Keywords:CR;tributyltin methacrylate;graft copolymer; antifungal property

  近年来,接枝共聚合已成为对纤维素进行化学改性的重要手段[1,2],也是制备生物可降解材料的途径之一。氧化还原体系的自由基引发接枝共聚合因其实用性而备受重视[3,4],但多数接枝共聚合是在有机溶剂的均相体系中进行的,乳液接枝共聚合在国内尚未见报道。本工作研究了羟丙基甲基纤维素(HPMC)与丙烯酸酯的乳液接枝共聚合及接枝产物在织物涂层剂领域的应用。

1 实验部分

1.1 原材料
  HPMC为工业品,日本进口,商品名称MethocelF;丙烯酸乙酯(EA)、丙烯酸丁酯(BA)为工业品,用前经减压蒸馏;过硫酸钾(KPS)和NaHSO3等均为分析纯的市售品。
1.2 聚合配方
  聚合配方为EA80.0g,BA20.0g,HPMC30.0g,KPS1.0g,NaHSO30.4g,NaHCO30.2g。总固物质量分数(TCS)为12%。
1.3 接枝共聚合
  在装有搅拌器的四口瓶中加入10%纤维素蒸馏水溶液,液相通氮气30min后,在氮气保护下升温至60℃,一次或分批加入引发剂KPS的水溶液。每批KPS加入后间隔一段时间,再分批滴加乙烯基单体的混合物和还原剂NaHSO3的水溶液,半连续加料时间为4h,产物为聚合物乳液。
1.4 接枝参数的测定
  将产物制成薄膜,用质量法测定单体转化率。分别用质量分数为1.2%的NaHSO3水溶液萃取薄膜中未接枝的纤维素,用丙酮萃取未接枝的乙烯基聚合物。将产物分为4部分:未接枝的乙烯基聚合物(A)、在纤维素上接枝的乙烯基聚合物(B)、未接枝的纤维素(C)和已接枝的纤维素(D),并给出下列定义:

单体接枝效率(GE)=[mB/(mA+mB)]×100%
纤维素接枝率(GC)=[mD/(mC+mD)]×100%
表观接枝率(G)=[mB/(mC+mD)]×100%
真实接枝率(GT)=mB/mD×100%

1.5 涂层织物透气性和耐水性的测定
  涂层织物的透气性是由在同一装置中用水排气法测定恒速下流入等体积水所需的相对时间来表征的;耐水压测定按照GB4744-84进行。

2 结果与讨论

2.1 对接枝的影响
2.1.1引发剂加料方式
  将KPS分12,4,1批加入反应体系,单体按与KPS相应的批数滴加。当KPS分12批加入时,每批间隔20min,每次加入KPS5min后,在15min内滴加1/12(质量)的单体和1/13的NaHSO3溶液,半连续加料12批后,补加剩余的NaHSO3溶液;KPS分4批加入时,每批间隔1h,每次加入KPS15min后,在45min内滴加1/4的单体和1/5的NaHSO3溶液,剩余的NaHSO3溶液在单体半连续加料完成后补加;KPS一次加入时,30min后开始滴加单体和4/5的NaHSO3溶液,3h内滴加完所有单体,然后在30min内补加剩余的NaHSO3溶液。不同操作条件下产物的接枝参数如表1所示。

Table1 Effect of the way of KPS additionon
grafting parameters

KPSaddition GE Gc G GT
In 12 batches 39.5 33.4 126.3 378.1
In 4 batches 45.2 36.5 139.1 380.5
In 1 batch 28.9 25.2 91.7 363.8
  表1的结果表明,引发剂分批加料比一次性加料的接枝率高,而且分4批加料比分12批的效果好。在采用不同的引发剂加料方式时,一方面KPS在单体加入前与体系中纤维素的预接触时间不同,另一方面,反应过程的瞬时引发剂浓度也不同。Kolthoff等[5]早已证实,当体系中有醇存在时,硫酸根与醇反应生成由醇衍生的自由基。Krassig等[6]认为纤维素分子链上的羟基起到了与醇相似的作用,在纤维素存在下,KPS分解产生的自由基从纤维素上夺取氢原子而沿着纤维素分子链形成大分子自由基,这是形成接枝共聚物的重要步骤。因此,KPS与纤维素的预接触使KPS能较好地被纤维素吸收,并部分地与纤维素发生反应。当加入单体和还原剂时,被大量纤维素包围的引发剂快速形成自由基,并在纤维素分子链上形成大分子自由基,引发单体接枝聚合。如果引发剂一次加入,大量引发剂不可能处于纤维素分子的完全包围之中,引发剂产生的自由基将更多地引发单体聚合,而不是与纤维素反应形成大分子自由基,所以分批加入引发剂比一次性加料时的接枝率高。而当引发剂分12批加入时,引发剂与纤维素的预接触时间过短,不利于被纤维素吸收、包围并在纤维素上形成大分子自由基,表现为产物接枝率并非随着加料批数的继续增多而增大,因此引发剂与纤维素的预接触时间是影响产物接枝率的重要因素之一。

Table2 Application properties of product as
textile coating

HPMC/monomer(mass ratio) Coated amount/g.m-2 Gas permeabilty*/% Water proof/cm
30/100 7.6 45 >200
40/100 7.6 72 >200

*Basedonuncoatedtextile.

2.1.2 引发剂用量
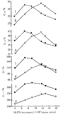
在引发剂分4批加入的操作方式下引发剂用量对接枝的影响如图1中曲线Ⅰ所示。图1的曲线Ⅰ表明,在KPS/单体(质量比)小于7×10-3时,随着引发剂用量的增大,自由基数量增加,在HPMC上形成的大分子自由基数也随之增多,因而接枝的概率增大;而当引发剂用量继续增大时,由于体系中HPMC的数量不变,因而增加的引发剂主要引发了单体的均聚,使接枝率下降。
  由GT的定义可知,GT越大,表明在纤维素分子链上的接枝点密度增大或支链聚合物的相对分子质量增大。当引发剂用量低于曲线极值点对应的用量时,GT随KPS的增大而增大。由于KPS增大时不可能增大支链聚合物的相对分子质量,这意味着引发剂用量的增加主要导致接枝点密度的增大。当引发剂用量较高时,GT随KPS的增大而减小,表明引发剂的增加未能继续增加接枝点密度,而是降低了支链的相对分子质量。

t10201.gif (5823 bytes)

Fig1 Effect of initiator amount on grafting parameters under different HPMC contents
Recipe of polymerization:EA80g,BA20g,
NaHSO3/KPS0.4;TSC:12%.
HPMC:30g(curveⅠ);40g(curveⅡ).

2.1.3HPMC用量
  将HPMC/单体(质量比)由30/100增加到40/100,引发剂分4批加入,不同引发剂总用量下接枝参数的变化如图1中曲线Ⅱ所示。显然,接枝率在不同HPMC用量下随引发剂用量的变化趋势基本相似,只是曲线的极点所对应的引发剂用量从低用量区向高用量区移动,表明由于HPMC用量的增加,达到最大接枝率时的引发剂用量相应增大。另一个显著的变化是G和GT随着HPMC用量的增大而明显下降,说明HPMC用量的增大并未成比例地增大单体的接枝效率,而是降低了接枝共聚物的接枝点密度,笔者认为这是由于接枝共聚合是在非均相乳液体系中进行的缘故。HPMC用量的增大使聚合初期在水相中形成的接枝共聚物的接枝点密度减少,伴随着乳胶粒的生成,接枝的场所逐渐从水相转移到乳胶粒的表面进行,而乳胶粒的表面积并非随HPMC用量的增大而成比例地增加。
2.2 接枝共聚物的应用
  将加入适量交联剂(水溶性三聚氰胺甲醛树脂)的接枝共聚物乳液作为织物涂层剂涂于尼龙绸基布上,测定涂层织物的透气性和耐水性,结果如表2所示。
  由表2可知,HPMC用量的增加可增大涂层的透气性,这是由纤维素本身的特性所决定的,而接枝共聚物作为涂层剂可使涂层兼具透气性和防水性。调节共聚物的组成和改变聚合条件,可以得到综合性能优异的织物涂层剂。

3 结论

  a)在水溶性聚合物纤维素醚存在下进行丙烯酸酯的聚合,可制备稳定的接枝共聚物乳液。
  b)引发剂用量及加料方式对接枝效率有显著影响,达到最佳接枝效率时的引发剂用量随HPMC用量的增大而增大。
  c)纤维素浓度的增大使接枝共聚物的真实接枝率下降,但共聚产物涂敷的织物涂层的透气性得到改善,耐水性无明显下降。

作者简介:许涌深,男,53岁,副教授。获国家教委科技进步三等奖1项。已发表论文20余篇。
许涌深(天津大学化工学院,300072)
李红兵(天津大学化工学院,300072)
袁才登(天津大学化工学院,300072)
王艳君(天津大学化工学院,300072)
曹同玉(天津大学化工学院,300072)

参考文献

[1]Bhattacharyya S N,Maldas D.Graft copolymerization onto cellulosics[J].Prog Polym Sci,1984,10:171
[2]Guthrie J T,Tune P D.The preparation,characterization and application of cellulose- MMA graft copolymers[J].J Polym Sci,Part A,1991,29:1 301
[3]Misra B N,Menta I K,Khetarpal R C.Grafting onto celluloseⅧ .Graft copolymerization of poly(ethylacrylate) onto cellulose by use of radox initiators.Comparison of initiator reactivities[J].J Polym Sci,Polym Chem,1984,22:2 767
[4]Hebeish A,Mehta P C.Grafting of acrylonitrile on cellulosic materials by tetravalent cerium[J].Text Res J,1967,37:911
[5]Kolthoff I M,Mechand E J,Corr E M.Mechanism of initiation of emulsion polymerization by persulfate[J].J Am Chem Soc,1953,75:1 439
[6]Krassig H A,Stannett V.Graft copolymerization to cellulose and its derivatives[J].Adv Polym Sci,1965,4:111

 

收稿日期:1999-06-02;修订日期:1999-12-06