logo.gif (2519 字节)

合成橡胶工业
CHINA SYNTHETIC RUBBER INDUSTRY
2000 Vol.23 No.2 P.116

qklogo.gif (1030 字节)


Kinetic study of polymerization of isoprene in Et2O

Cheng Jue,Li Zhaopeng and Jin Guantai
(College of Materials Science and Engineering,Beijing University of Chemical Technology)

  乙醚中异戊二烯负离子聚合动力学研究程珏李兆鹏金关泰(北京化工大学材料科学与工程学院,100029)研究了以乙醚为溶剂,用正丁基锂引发异戊二烯负离子聚合的动力学。结果表明,增长反应速率对单体浓度的反应级数为1,对引发剂浓度的反应级数小于1,说明聚合活性中心有缔合态存在,并未完全解缔。同时求得了增长反应速率常数、活化能、频率因子及形成1,4-结构、1,2-结构和3,4-结构的分速率常数、分活化能和频率因子。关键词:异戊二烯;负离子聚合;乙醚;动力学

  On the basis of reaction rate theory,the polymerization rate is expressed by the following equation:

11650.gif (706 bytes)

αandβ are reaction orders with respect to monomer concentration and initiator concentration respectively,kp′ is apparent propagation reaction rate constant.
  Because the concentration of active species remained constant during polymerization due to the absence of chain transfer,coupling reaction or termination,the above equation can be simplified as follows:

11601.gif (2444 bytes)

  The experiments are carried out by dilatometry to get the curves of monomer conversion vs time.A series of parameters(k′,kp′,β)are derived out from the experiment results and equations mentioned above(see Table 1).

Table 1 Values of k,kp′,β at different temperatures in Et2O

T/℃ [n- BuLi]/mol.L-1 k′/min-1 kp′/Lβ.mol-β.min-1 β
0

 

0.0124 0.0082 0.059

 

0.4506

 

0.0076 0.0065
0.0063 0.0061
20

 

 

0.0141 0.0395 0.338

 

 

0.5511

 

 

0.0088 0.0249
0.0074 0.0226
0.0058 0.0198
30

 

 

0.0103 0.0434 0.271

 

 

0.4043

 

 

0.0070 0.0370
0.005 0.0330
0.0049 0.0323

Table 2 Partial rate constants at different
temperatures in Et2O

Temperature/℃ 0 20 30
kp′/Lβ· mol-β · min-1 0.059 0.338 0.271
I1,2/% 23.05 16.35 63.15
I3,4/% 70.75 65.68 23.37
I1,4/% 6.20 17.97 14.48
k1,2/Lβ· mol-β· min-1 0.0136 0.0553 0.0370
k3,4/Lβ· mol-β· min-1 0.0418 0.2220 0.1710
k1,4/Lβ· mol-β· min-1 0.0037 0.0607 0.0630
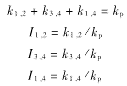
  According to Arrhenius equation,the real activation energy(E) and frequency factor(A) are obtained:E=57.98 kJ/mol,A=7.716× 109(L/mol)β /min.Therefore kp=7.176× 109 exp(- 57 980/RT). Besides,there are relationships between the partial rate constants k1,2(forming 1,2- unit),k3,4(forming 3,4- unit),k1,4(forming 1,4-unit)

11602.gif (916 bytes)

  The partial activation energies and frequency factors were deduced by the similar way mentioned above,and the partial constants were expressed as follows:

11603.gif (1841 bytes)

Biography:Cheng Jue,associate professor.

Received:1999-11-28.